Funkcje, zadanie nr 2954
ostatnie wiadomo艣ci | regulamin | latex
| Autor | Zadanie / Rozwi膮zanie |
liloe post贸w: 2 | 2013-05-30 21:36:49Prosz臋 o pomoc w dw贸ch zadaniach z wielomian贸w. 1)$x^{3}+x-2$ 2)$x^{6}-26x^{3}-27$ Z g贸ry dzi臋kuj臋. |
abcdefgh post贸w: 1255 | 2013-05-30 22:03:08$x^3+x-2=0$ $w(1)=1+1-2=0$ ![]() $(x^2+x+2)(x-1)=0$ $\delta<0$ |
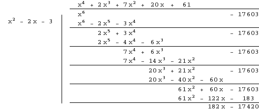
abcdefgh post贸w: 1255 | 2013-05-30 22:24:03$x^6-26x^3-27=0$ $t=x^3$ $t^2-26t-27=0$ $\delta=784$ $\sqrt{\delta}=28$ $t=27$ $t=-1$ $27=x^3$ $x=3$ $-1=x^3$ $x=-1$ ![]() $(x+1)(x-3)(x^4+2x^3+7x^2+20x+61)$ Wiadomo艣膰 by艂a modyfikowana 2013-05-30 22:32:26 przez abcdefgh |
| strony: 1 | |
Prawo do pisania przys艂uguje tylko zalogowanym u偶ytkownikom. Zaloguj si臋 lub zarejestruj
2013-05-30 21:36:49
