logowanie

matematyka » forum » forum zadaniowe - szko³a ponadpodstawowa » zadanie

Pierwiastki, potęgi, logarytmy, zadanie nr 3741

ostatnie wiadomoÅ›ci  |  regulamin  |  latex

AutorZadanie / RozwiÄ…zanie

mateuszk22l
postów: 10
2013-12-19 19:20:40

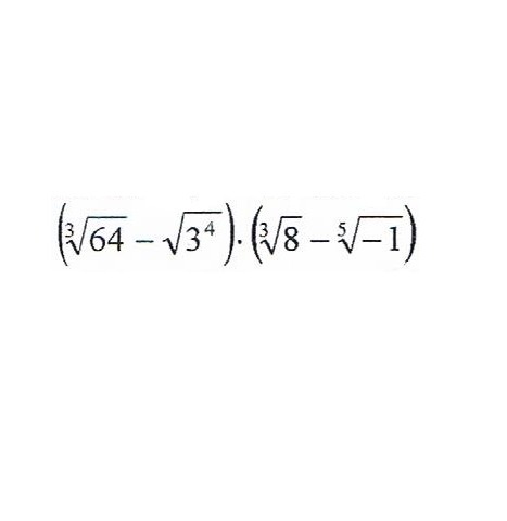
Wykonaj działanie


agus
postów: 2387
2013-12-19 19:33:08

(4-$3^{2}$)(2-(-1))=(4-9)(2+1)=-5*3=-15

strony: 1

Prawo do pisania przysługuje tylko zalogowanym użytkownikom. Zaloguj się lub zarejestruj

© 2019 Mariusz ¦liwiñski      o serwisie | kontakt   drukuj