logowanie

matematyka » forum » forum zadaniowe - szko砤 ponadpodstawowa » zadanie

Liczby rzeczywiste, zadanie nr 3743

ostatnie wiadomo艣ci  |  regulamin  |  latex

AutorZadanie / Rozwi膮zanie

mateuszk22l
post贸w: 10
2013-12-19 19:31:08

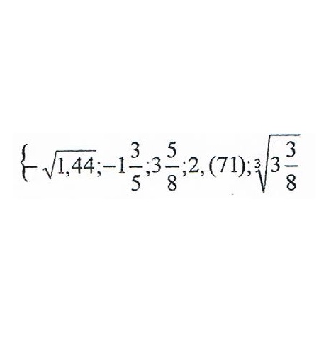
Zapisz te liczby w postaci u艂amk贸w nieskracylnych


marcin2002
post贸w: 484
2013-12-19 19:32:19

$-\sqrt{1,44}=-1,2=-\frac{6}{5}$

Wiadomo艣膰 by艂a modyfikowana 2013-12-19 19:32:40 przez marcin2002

marcin2002
post贸w: 484
2013-12-19 19:33:23

$-1\frac{3}{5}=-\frac{8}{5}$


marcin2002
post贸w: 484
2013-12-19 19:33:57

$3\frac{5}{8}=\frac{29}{8}$


marcin2002
post贸w: 484
2013-12-19 19:36:43

$ 2,(71)$

$ 2,(71)=x $ /*100
$ 271,(71)=100x$ /-x
$269=99x$
$x=\frac{269}{99}$


marcin2002
post贸w: 484
2013-12-19 19:37:46

$\sqrt[3]{3\frac{3}{8}}=\sqrt[3]{\frac{27}{8}}=\frac{3}{2}$

strony: 1

Prawo do pisania przys艂uguje tylko zalogowanym u偶ytkownikom. Zaloguj si臋 lub zarejestruj

© 2019 Mariusz iwi駍ki      o serwisie | kontakt   drukuj