logowanie

matematyka » forum » forum zadaniowe - szko³a ponadpodstawowa » zadanie

Pierwiastki, potęgi, logarytmy, zadanie nr 3744

ostatnie wiadomoÅ›ci  |  regulamin  |  latex

AutorZadanie / RozwiÄ…zanie

mateuszk22l
postów: 10
2013-12-19 19:42:23

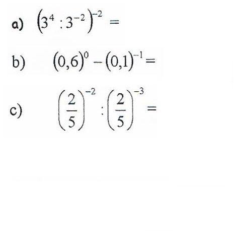
Oblicz


marcin2002
postów: 484
2013-12-19 19:51:40

$(3^{4}\div3^{-2})^{-2}=(3^{6})^{-2}=3^{-12}=\frac{1}{531441}$


marcin2002
postów: 484
2013-12-19 19:52:43

$(0,6)^{0}-(0,1)^{-1}=1-10=-9$


marcin2002
postów: 484
2013-12-19 19:54:16

$(\frac{2}{5})^{-2}\div(\frac{2}{5})^{-2}=(\frac{2}{5})^{1}=\frac{2}{5}$

strony: 1

Prawo do pisania przysługuje tylko zalogowanym użytkownikom. Zaloguj się lub zarejestruj

© 2019 Mariusz ¦liwiñski      o serwisie | kontakt   drukuj