logowanie

matematyka » forum » forum zadaniowe - szko砤 ponadpodstawowa » zadanie

Liczby rzeczywiste, zadanie nr 3748

ostatnie wiadomo艣ci  |  regulamin  |  latex

AutorZadanie / Rozwi膮zanie

mateuszk22l
post贸w: 10
2013-12-19 20:31:40

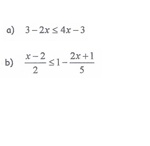
Rozwi膮偶 nier贸wno艣ci. Zbi贸r rozwi膮za艅 zapisz w postaci przedzia艂u liczbowego i zaznacz na osi liczbowej.


marcin2002
post贸w: 484
2013-12-19 20:39:27

$3-2x\le4x-3$
$6\le6x$
$x\ge1$

$x\in$ $<1,\infty)$


marcin2002
post贸w: 484
2013-12-19 20:43:24

$ \frac{x-2}{2}\le1-\frac{2x+1}{5}$
$ \frac{x-2}{2}\le\frac{5-2x-1}{5}$
$ \frac{5x-10}{10}\le\frac{10-4x-2}{10}$
$ \frac{5x-10}{10}\le\frac{8-4x}{10}$
$5x-10\le8-4x$
$9x\le18$
$x\le2$
$x\in$ $(-\infty,2>$

strony: 1

Prawo do pisania przys艂uguje tylko zalogowanym u偶ytkownikom. Zaloguj si臋 lub zarejestruj

© 2019 Mariusz iwi駍ki      o serwisie | kontakt   drukuj