Rachunek różniczkowy i całkowy, zadanie nr 4283
ostatnie wiadomości | regulamin | latex
| Autor | Zadanie / RozwiÄ…zanie |
19imperator91 postów: 7 | 2016-02-07 13:27:25Witam, mam pytanie odnośnie całek krzywoliniowych skierowanych k+ oznacza górną część okręgu, czy część okręgu która znajduje się ponad y=0 ? Drugie pytanie odnośnie kątu t w różnych przypadkach. W przypadku \int_{}^{k} xydx-xydy dla k+: x^2+y^2=2x, x=cost+z y=sint a t? również jak okrąg jest przesunięty na góre, to jaki kąt t? Jeżeli środek okręgu jest w punkcie 0,0 to dla k+ kąt tE<0,\pi>? Nie wiem czy mam błędy w notatkach czy co, wole się upewnić przed egzaminem . Mam nadzieje, że zrozumiale napisałem :) I jakby komuś się chciało sprawdzić, czy dobrze rozwiązałem 2 całki. Objętość dla S1: z=x^2+y^2+1 S2: z=4-pierwiastek z x^2+y^2 - wynik mi wyszedł około 7,06pi Oraz pole powierzchni dla S:z=x^2+y^2 D: x^2+y^2=<16 wyszło mi okolo 87,17pi Z góry wielkie dzięki za pomoc ;) pozdrawiam |
janusz78 postów: 820 | 2016-02-07 22:24:16K+ - górna część okręgu znajduje się nad osią Ox (y=0) to chyba jest oczywiste. Dalszy Twój tekst jest trudny do czytania. Proponuję abyś czytelnie jeszcze raz go zapisał, przedstawiając swoje rozwiązania. |
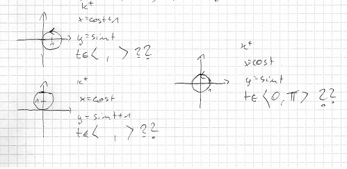
19imperator91 postów: 7 | 2016-02-07 22:41:44![]() chodzi mi, jakie t powinno byc w tych przypadkach ? |
janusz78 postów: 820 | 2016-02-08 10:52:11Współrzędne biegunowe $ x = r\cos(t),\ \ y = rsin(t), \ \ \theta_{1} \leq t \leq \theta_{2}, \ \ 0 \leq r \leq r(t)$ a) $(x-1)^2 + y^2 = 1.$ $ r= 2\cos(t),\ \ t\in [-\frac{\pi}{2}, \frac{\pi}{2}].$ b) $ x^2 +(y-1)^2 = 1.$ $ r = 2\sin(t), \ \ t\in [0, \pi].$ c) $ x^2 +y^2 = 1.$ $ r = 1, \ \ t\in [0, 2\pi] $ dla$ K^{+} \cup K^{-}.$ $ r= 1, \ \ t\in [0, \pi] $ tylko dla $ K^{+}$. $ r =1, \ \ t\in [\pi, 2\pi] $ tylko dla $K^{-}$. Wiadomość była modyfikowana 2016-02-08 11:48:22 przez janusz78 |
19imperator91 postów: 7 | 2016-02-08 19:06:23Ok, wielkie dzięki za pomoc ;) |
| strony: 1 | |
Prawo do pisania przysługuje tylko zalogowanym użytkownikom. Zaloguj się lub zarejestruj
2016-02-07 13:27:25