logowanie

matematyka » forum » forum zadaniowe - uczelnie wy縮ze » zadanie

Algebra, zadanie nr 4937

ostatnie wiadomo艣ci  |  regulamin  |  latex

AutorZadanie / Rozwi膮zanie

laurelane
post贸w: 3
2016-11-06 16:59:29

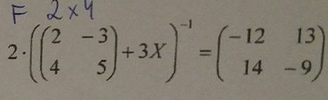
Przy pomocy operacji odwracania macierzy, wyznaczy膰 macierz X:





janusz78
post贸w: 820
2016-11-06 17:08:23

Skany nie s膮 mile widziane! Mo偶na wstawia膰 ale grafik臋- pkt 7. Zapoznaj si臋 z Regulaminem jest naprawd臋 kr贸tki. Lepiej, gdyby艣 nauczy艂 si臋 pisa膰 w TeX.





Wiadomo艣膰 by艂a modyfikowana 2016-11-06 17:41:44 przez janusz78

janusz78
post贸w: 820
2016-11-06 17:36:42

Pomn贸偶 obustronnie r贸wnanie przez $\frac{1}{2}.$

Potem prawostronnie przez sum臋 macierzy:

$\left(\left(\begin{matrix} 2 & -3\\ 4 & 5 \end{matrix}\right)+3X \right)$

Nast臋pnie lewostronnie przez macierz

$\left(\begin{matrix} -12 & 13\\ 14 & -9 \end{matrix}\right)^{-1}$


Potem ju偶 prosto.


Nast臋pny post ze skanem nie b臋dzie brany pod uwag臋.

Wiadomo艣膰 by艂a modyfikowana 2016-11-06 17:43:33 przez janusz78
strony: 1

Prawo do pisania przys艂uguje tylko zalogowanym u偶ytkownikom. Zaloguj si臋 lub zarejestruj

© 2019 Mariusz iwi駍ki      o serwisie | kontakt   drukuj